臭氧校準結果計算與評價
以臭氧標準參考光度計的測定值為橫坐標,臭氧傳遞標準的響應值為縱坐標,用 很小二乘法建立校準曲線,記錄校準曲線的斜率和截距。
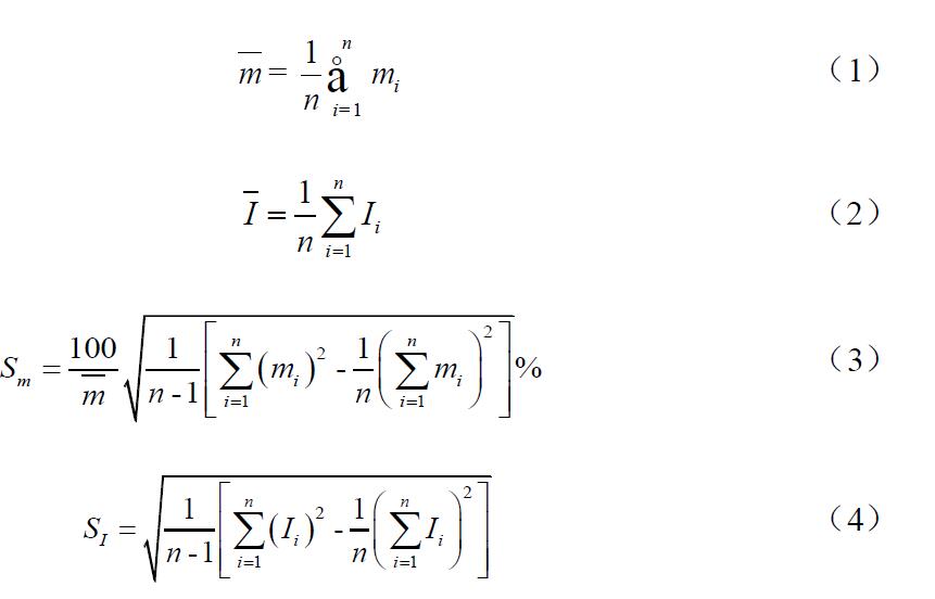
6.2結果計算
多點校準的平均斜率與平均截距分別按公式(1)和公式(2)進行計算;多點校準斜率的相對標準偏差和截距的標準偏差分別按公式(3)和公式(4)進行計算。
6.3評價指標
多次多點校準的每個斜率均應在0.97~1.03之間,每個截距均應在(0±3)nmol/mol之間;多點校準斜率的相對標準偏差應≤3.7%,截距的標準偏差應≤1.5nmol/mol。否則應查找原因,維修臭氧傳遞標準后重新進行校準。臭氧監測一級校準報告參見附錄B。